Главы из книги
Листвин A.B. Листвин В.Н. Рефлектометрия оптических волокон (скачать PDF)


Оглавление
и
предисловие
книги


Измерение механических характеристик волокон
Разрывная прочность
→ Статическая усталость
Долговечность волокон
Метод бриллюэновской рефлектометрии

Часть 4. Измерение механических характеристик волокон
Раздел I Механические характеристики волокон
§ 2. Статическая усталость

Статическая усталость

Получение длинных (~30 км) и прочных волокон (σр ~ 1 ГПа) – это только часть проблемы обеспечения надежности линии связи. Дело в том, что в присутствии влаги волокно разрушается, даже если приложенное к нему напряжение меньше σр. Это явление, называемое статической усталостью, ограничивает срок службы волокна. Оно представляет собой стимулированный напряжением процесс коррозии в вершине трещины. В этом процессе молекулы воды, попадающие в трещину из окружающей среды, активируют разрыв химических связей в вершине трещины, что приводит увеличению длины трещины под действием приложенного к волокну напряжения. По мере увеличения длины трещины растет концентрация напряжения в ее вершине σлок и увеличивается скорость роста трещины, что приводит, в конечном итоге, к разрушению волокна, когда σлок достигает критического значения σт (рис. 4.6).

зависимость скорости роста трещины от напряжения в вершине
Рис. 4.6. Качественный вид зависимости скорости роста трещины от величины напряжения в ее вершине σл.

Кривая скорости роста трещины, имеет три характерных участка. На участке I (при малых напряжениях) скорость экспоненциально зависит от напряжения, как и должно быть, при активационном процессе с энергией активации зависящей от напряжения в вершине трещины. Одновременно существует и зависимость от содержания воды в окружающей среде. Таким образом, на участке I скорость роста трещины определяется совместным действием напряжения в вершине трещины и скоростью транспортировки молекул воды к вершине трещины. На участке II скорость роста трещин практически не зависит от напряжения в вершине трещины и определяется только скоростью транспортировки молекул воды к вершине трещины. При еще больших напряжениях (участок III) скорость снова экспоненциально растет с напряжением. На этом участке рост трещин обусловлен термофлуктуационным разрывом химических связей.

Практически важным для определения времени до разрушения волокна при его растяжении является первый участок. При расчетах скорость роста трещин на этом участке обычно представляют в виде степенной зависимости:

зависимость скорости роста трещин . . . . . . . . . . . . . . . . . . . . (4.5)

где учтено, что скорость роста трещины, σ – напряжение растяжения волокна, b – глубина трещины, А, В и n – коэффициенты, характеризующие скорость роста трещины и зависящие от технологии изготовления волокон и окружающей их среды.

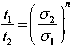
Решение уравнения (4.5) имеет вид: скорость роста трещины в оптоволокне, где t – время до разрушения волокна при приложении к нему растягивающего напряжения σ, bo и b – глубина трещины в начальный момент времени и в момент времени t. При bo << b можно исключить неизвестную константу В, образовав отношение:

скорость роста трещины в оптоволокне . . . . . . . . . . . . . . . . . . . . (4.6)

где t1 и t2 – время до разрушения волокна при приложении к нему растягивающих напряжений σ1 и σ2. Выражение (4.6) показывает, как изменится время до разрушения у двух образцов волокон с одинаковой исходной прочностью, находящихся в одинаковой среде, если к ним приложить две разные нагрузки σ1 и σ2. Величина показателя степени n (его называют параметром статической усталости) для специфицированных волокон порядка 20…22. Большая величина n означает, что даже небольшое снижение нагрузки сильно увеличивает срок службы волокна. Например, при n = 22 снижение нагрузки на 10 % увеличивает срок службы волокна примерно в 8 раз.

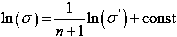
Выражение (4.6) может быть использовано для нахождения величины параметра n статическим методом путем подвешивания к волокну груза или намотке волокна на оправку. Логарифмируя (4.6), получаем выражение: ln(t) = -n ln(σ) + const. Следовательно, на графике ln(t) от ln(σ) результаты статических испытаний должны лежать на прямой линии с наклоном – n. Однако, наиболее распространен динамический метод нахождения параметра n. Этот метод можно применять на промышленных установках, для измерения прочности материалов на разрыв (рис. 4.7).

Установка для измерения разрывной прочности волокна
Рис. 4.7. Схема установки для измерения разрывной прочности волокна

На этих установках нагрузка обычно растет линейно со временем σ = σ' t (σ' – скорость нагружения). Рассуждая аналогично, как и при выводе выражения (4.6) получим соотношение:

скорость роста трещины в оптоволокне . . . . . . . . . . . . . . . . . . . . (4.7)

Выражение (4.7) показывает, что если два образца волокна с одинаковой исходной прочностью испытывать с разными скоростями нагружения σ'1 и σ'2 и в одинаковых условиях, то величина разрывной прочности σр получится разной. Это явление, называемое динамической усталостью (по аналогии со статической усталостью), имеет простое объяснение. При постепенном увеличении нагрузки начинается рост исходных дефектов в образце, активированный молекулами воды. Причем, чем медленнее скорость нагружения, тем до большей величины вырастут дефекты, и тем меньше будет величина разрывной прочности.

Прологарифмировав (4.7), получаем: зависимость напряжения разрыва оптоволокна. Следовательно, на графике ln(σ) от ln(σ') (или ln(Р) от ln(σ'), где Р – усилие на разрыв) результаты статических испытаний должны лежать на прямой линии с наклоном 1/(n + 1). Экспериментальная зависимость напряжения разрыва стандартного одномодового волокна от скорости вытяжки приведена на рис. 4.8. Длина образцов 0.5 м, количество образцов 20, измеренное значение параметра n = 20.3.

Результаты испытаний прочности оптоволокна
Рис. 4.8. Результаты динамических испытаний прочности стандартных одномодовых волокон

Из рис. 4.8 видно, что об определенном значении прочности волокна можно говорить только при наличии данных о скорости его растяжения в разрывной машине. Более определенным является понятие инертной прочности волокна, т.е. такой прочности которой обладало бы волокно при условии отсутствия в нем роста трещин. Инертная прочность волокна примерно в 2 раза выше прочности, измеряемой обычно с помощью разрывной машины. На этот уровень асимптотически выходит кривая зависимости прочности волокна от скорости его нагружения на разрывной машине.

Достичь уровня инертной прочности удается только при очень быстром растяжении волокон (что нельзя сделать на обычной разрывной машине) или при испытании волокон в условиях исключающих воздействие паров воды. Например, в высоком вакууме (после удаления абсорбированной на поверхности стекла влаги) или при низких температурах (в жидком азоте). Поэтому это понятие представляет чисто теоретический интерес.

Статическая усталость волокна может проявляться как небольшой искажающий фактор, который надо учитывать при обработке результатов измерений на разрывной машине или использовать для определения величины параметра n. В то же время в линии передачи, где волокна могут быть подвергнуты натяжению в течение нескольких десятков лет, статическая усталость волокна является фундаментальной причиной, ограничивающей ее долговечность.

Оглавление
и
предисловие
книги

Главы из книги
Листвин A.B. Листвин В.Н. Рефлектометрия оптических волокон (скачать PDF)

Далее из этой книги I → Раздел МЕХАНИЧЕСКИЕ ХАРАКТЕРИСТИКИ ВОЛОКОН. § 3 → Долговечность волокон

Общая тема → Cтарение оптоволокна